自蚂蚁集团被暂缓上市以来,大众对蚂蚁集团的关注与热议不止,其中关注度最高、争议最大的,当属其2.1万亿的IPO估值。
不少业界人士预测,在金融监管变革背景下,蚂蚁集团要想重启上市就必须重组,而重组可能使蚂蚁集团2.1万亿估值“打七折”左右。
环球网页版财务与会计学系教授韩洪灵带领团队研究发现,当前我国资本市场对蚂蚁集团2.1万亿元的估值是扭曲的,这种扭曲是由估值方法论缺陷和当前我国资本市场总体伦理水平共同决定的。这种扭曲的估值逻辑若长期不变,可能会给资本市场带来不利的经济后果与负面示范效应。

环球网页版教授韩洪灵
近日,韩洪灵与环球网页版博士生陈帅弟、硕士研究生陆旭米,以及EMBA课程教授陈汉文(通讯作者)基于科技属性与金融属性的双重视角,在金融监管变革背景下初步构建了蚂蚁集团的估值逻辑,提出了区别于传统单一估值方式的复合估值模型。
文章首发于《财会月刊》2021年第1期。文章指出,若按新模型对蚂蚁集团进行估值,其2.1万亿估值或将面临“大缩水”。
本文系国家自然科学基金重点项目“审计机构治理机制与审计质量研究”【项目编号:71932003】成果
金融监管变革背景下蚂蚁集团估值逻辑研究
——基于科技属性与金融属性的双重视角
2020年11月3日,上海证券交易所和香港联合证券交易所先后发布公告:暂缓蚂蚁科技集团股份有限公司①(简称“蚂蚁集团”)A+H股上市,市场一片哗然。
就在发布公告前一天(2020年11月2日),中国人民银行、中国银保监会、中国证监会、国家外汇管理局对蚂蚁集团实际控制人马云、董事长井贤栋、总裁胡晓明进行了“监管约谈”。
同日,中国银保监会与中国人民银行联合发布《网络小额贷款业务管理暂行办法(征求意见稿)》(简称《网络小贷办法》),对网络小贷业务的监管范围、对外融资、贷款金额等提出了更为严格的监管要求。
2020年11月10日,市场监管总局发布《关于平台经济领域的反垄断指南(征求意见稿)》(简称《反垄断指南》),将矛头又对准了包括蚂蚁集团在内的居于平台经济主导地位的互联网企业巨头。
从“监管约谈”到《网络小贷办法》出台,再到《反垄断指南》的发布,无不在向市场释放一个强烈的信号:蚂蚁集团这一类前期缺乏监管的科技金融(TechFin)企业,将迎来强监管时代。
作为全球科技金融行业的最大独角兽,一直以来,蚂蚁集团都强调其是一家技术驱动的金融科技(FinTech)公司。蚂蚁集团原IPO计划总市值约2.1万亿元,其IPO估值逼近当前科创板总市值的75%。韩洪灵曾提出蚂蚁集团在科创板IPO的多重示范效应,包括促进传统金融机构更加重视金融生态(Financial Ecology)建设、逐步确立以金融科技为核心的未来全球金融竞争的新格局、确立以表外数字资产(Digital Asset)驱动盈利快速增长的金融企业新盈利模型,甚至可能重塑整个科创板生态。
然而,现有对蚂蚁集团的估值是简单参照科技企业进行的,该项IPO估值在不同类型的投资者、监管者及其他利益相关者之间引发了极大的争议。
由于蚂蚁集团“金融+科技”的复杂属性,且国内外缺乏完全可对标的参照企业,因此,长期而言,扭曲的估值水平可能会给资本市场带来不利的经济后果与负面示范效应。
我们认为,对蚂蚁集团估值模型的构建需考虑以下三个方面:第一,厘清蚂蚁集团商业模式的本质,即蚂蚁集团更适合被定义为金融科技企业还是科技金融企业;第二,考量金融监管环境变革下各风险要素对蚂蚁集团估值的影响;第三,体现蚂蚁集团致力于打造金融生态所带来的协同效应。
有鉴于此,本文基于科技属性、金融属性以及近期的金融监管变革对蚂蚁集团的基本估值逻辑进行初步的探索与研究。
1
蚂蚁集团估值的逻辑起点:金融科技抑或科技金融
通常而言,商业模式、核心竞争力和商业壁垒三位一体构成了公司的未来投资价值,对企业的估值必须从企业的商业模式出发。鉴于蚂蚁集团“金融+科技”的复杂属性,对蚂蚁集团的估值首先必须厘清其商业模式的本质。
(1)蚂蚁集团商业模式的本质:科技驱动的金融企业
迄今为止,金融科技(FinTech)与科技金融(TechFin)是两个模糊而未被清晰定义的概念,在学术界与实务界被广泛交替地使用。
金融科技(FinTech)
FinTech是Financial Technology的缩写,根据金融稳定理事会(Financial Stability Board)的定义,金融科技是指由新兴前沿技术(如大数据、区块链、云计算、人工智能等)驱动产生的新业务模式、应用、产品或服务,从而对金融市场、金融服务业务的提供方式产生重大影响。
2019年8月,中国人民银行印发的《金融科技(FinTech)发展规划(2019-2021年)》中指出,金融科技是技术驱动的金融创新。金融科技带来了一种新范式,给传统金融业带来了颠覆性的创新。美联储副主席Quarles认为,金融科技是科技驱动型的金融创新,金融服务供给发生了实质性变化。
孙国峰指出,金融科技是一场金融信息传输、接收、分析和处理技术的革命。李春涛等认为,金融科技是以大数据、云计算、人工智能、区块链以及移动互联网为引领的新技术革命对金融领域边界的拓宽和重构,其参与主体主要为互联网企业、科技企业等技术性驱动企业,金融科技的应用重塑了传统金融业务场景,优化了金融生态,极大地拓宽了金融服务的广度和深度。李文红、蒋则沈指出,“金融科技”的具体含义在不同背景下也存在着差异:有时是指对现有金融业务的数字化或电子化,如网上银行、手机银行等;有时是指可以应用于金融领域的各类新技术,如分布式账户、云计算、大数据等;有时则指希望涉足金融领域、与现有金融机构形成合作或竞争关系的科技企业或电信运营商。
可见,对于金融科技企业来说,科技可能颠覆传统的金融业务,使传统的金融业务发生实质性变化,但作为专门的金融科技企业,其核心业务应该是为其他企业提供创新金融的技术解决方案,而其本身并不一定直接提供创新金融服务,即要求该类企业的价值创造关键点脱离传统金融服务范畴,或其盈利的主要来源应是金融科技服务(赋能)收入。
科技金融(TechFin)
科技金融则具有更为丰富的内涵。当前,对科技金融的定义主要从宏观层面入手。房汉廷将科技金融的内核表述为一种金融资本有机构成提高的过程,即同质化的金融资本通过科学技术异质化地配置,获取高附加回报的过程。中国科技金融促进会理事长王元在2014年中国科技金融促进会年会上提出,科技金融不是在现有金融体系外一个独立的部分,而是如何把金融资源与创新要素更好地实现组合的制度与政策安排。赵昌文等认为,科技金融是促进科技研发、成果转化和高新技术企业发展的一系列金融工具、金融制度、金融政策及金融服务的系统性、创新性安排。李心丹、束兰根则强调科技金融的平台属性,认为科技金融依托创新平台,对创投、银行、保险、证券、担保等其他金融资源进行整合创新,为科技型企业提供金融资源。徐涛等从生态学角度指出,科技金融是由科技创新主体、服务平台、金融市场、政府政策等组成的有机整体。
侯世英、宋良荣在对比金融科技和科技金融两个概念时指出,金融科技是科技跨界金融的产物,而科技金融则是金融在技术领域的跨界,即金融科技立足于科技,科技金融立足于金融。
总体而言,科技金融在企业层面的落脚点仍在于金融,即通过融合科技创新的金融业态和金融产物,达到提供金融服务的目的。
从企业层面来看,我们认为,科技金融企业更适合被定义为这样一类“金融创新企业”:依托技术赋能,通过技术创新现有的金融产品、金融服务、金融模式以及金融生态,从而获取高额的潜在性利润,但业务的金融本质没有发生变化。技术创新只是将新的信息形态以新的信息处理方式引入金融中介活动,并没有改变基于信息处理的金融中介模式。简言之,科技金融企业即是提供科技驱动的金融服务的企业。
蚂蚁集团的主要业务模式
判断蚂蚁集团商业模式的本质,首先要判断其科技属性是否完全替代了其金融属性,以及其基本盈利来源是否基本脱离了金融业务模式。
基本的金融业务模式包括存款、贷款、支付、保险、承销、代销等。从蚂蚁集团招股说明书公布的业务和收入结构可以发现,蚂蚁集团的收入来源于“数字支付与商家服务”“数字金融科技平台”“创新业务及其他”三个部分,具体如表1所示。

“数字支付与商家服务”作为蚂蚁集团业务的支付板块,融合了多种功能的数字钱包,以支付宝为载体,致力于通过对生活支付场景的全覆盖来吸引长期用户。该板块收入主要来自公司在国内商业交易、跨境商业交易以及个人交易中,按照交易规模的一定百分比收取的交易服务费。该业务的本质无异于传统金融机构以中介身份提供的支付业务。由于“数字金融科技平台”板块收入的快速增长,“数字支付与商家服务”板块的收入占比从2017年的54.88%逐年降低至2020年1-6月的35.86%。
“数字金融科技平台”作为蚂蚁集团业务的核心板块,其价值创造源于“数字支付与商家服务”的流量转化。该板块的收入自2019年起超过“数字支付与商家服务板”板块,2020年1~6月其占比提高至63.39%。蚂蚁集团数字金融科技平台又可分为微贷科技平台、理财科技平台、保险科技平台,其各类业务收入分布情况如图1所示。

微贷科技平台主要按照金融机构等合作伙伴相应获得利息收入的一定百分比收取技术服务费,该收入与公司平台促成的消费信贷及小微经营者信贷余额相关,所谓的“技术服务费”本质上是赚取利息的贷款服务;理财科技平台主要通过向客户代销各类金融理财产品,收取代销费用,其本质是代销服务;保险科技平台则是通过代销传统保险业务而收取代销费用来获得盈利。可见,数字金融科技平台下的微贷业务、理财业务、保险业务实际均未脱离传统金融业务的范畴。其中,微贷业务成为金融科技平台下最主要的增长动力。
“创新业务及其他”板块旨在为各类企业和合作伙伴提供创新技术服务,我们认为,此类业务属于标准的“金融科技企业核心业务”,如区块链和数据库服务等。但截至目前,蚂蚁集团提供金融技术服务的收入占比不足1%。“创新业务及其他”作为蚂蚁集团的“远景规划”,短期内无法成为蚂蚁集团主要盈利的来源,更无法颠覆蚂蚁集团当前商业模式的基础属性——金融属性。可见,目前蚂蚁集团的科技金融属性远甚于其金融科技属性。
蚂蚁集团的商业模式本质
从蚂蚁集团年报公布的主要业务模式(支付模式、微贷模式、保险模式、理财模式)来看,蚂蚁集团并未颠覆现有金融体系的业务和功能范畴,其当前收入的主要来源并非金融科技服务。蚂蚁集团不断催生出的金融产品、金融服务、金融模式以及金融生态等新金融业态,并未脱离金融范畴,其商业模式的本质是一家科技驱动的金融企业(以TechFin范畴为主)。
换言之,蚂蚁集团首先应属于金融企业,但其金融服务供给模式和商业运营模式又明显有异于其他传统金融企业,主要表现为以下几个方面:
第一,蚂蚁集团的生态战略(Ecological Strategy)或平台战略(Platform Strategy)导致边际成本递减,从而产生“长尾效应”(Long Tail Effect)②。蚂蚁集团以一站式金融服务平台著称,重点围绕客户、场景、资金、技术打造金融生态战略下的商业模式创新。
蚂蚁集团价值创造的第一要义在于金融生态的构建,其布局肇始于“支付+场景”下的客户引流。当前蚂蚁金服开发了围绕用户消费体验升级的全球支付、生活缴费、环保公益、信用免押、挂号看病等丰富的运用场景,已成功吸引了10亿活跃用户;具体商业场景的不断派生也持续扩充了金融服务的需求。蚂蚁集团金融生态所呈现的这些“现象级”成果不仅能在微观层面上极大地降低金融服务的边际成本,而且在中观上促进传统金融机构加快战略思维变革,还能在宏观层面改变我国金融市场的演化进程及监管机制。
不同于主张“二八定律”③的传统金融企业,蚂蚁集团的生态战略或平台战略更加关注大量“尾部”个体的商业价值创造,如吸纳消费信贷领域用户的花呗、借呗,定位于中小微企业的网商银行等,蚂蚁集团重视通过发挥“长尾效应”致力于实现普惠金融④。借助普惠金融带来的用户数量增长,蚂蚁集团就可以成功弱化金融敞口并强化能力输出,使得其边际成本快速递减且边际利润快速上升,这就是科技金融属性所展现出来的价值创造。
第二,注重金融科技的能力输出,即通过对传统金融机构的互联网等技术赋能创造收入,这就是金融科技属性的价值创造。蚂蚁集团借助“BASIC”⑤等基础信息技术的赋能,重点关注区块链和分布式技术,加大技术研发和创新,融合技术、客户和场景构建输出能力,打造跨技术、跨行业的金融科技平台,利用互联网平台效应,助力合作机构的金融业务开展,在赋能过程中创造收入。同时,蚂蚁集团开始关注海外布局和全球布局,注重金融科技对外输出,通过高效的“外延发展”实现国际化布局下的海外复制,并通过“协同金融产品”和“科技输出产品”加强全球合作,助力全球金融的可持续发展。尽管蚂蚁集团创新业务尚处于发展初期,但其具有较快的发展速度,如蚂蚁链⑥在2016~2020年连续五年位居全球区块链专利申请数第一,其自2019年度开始商业化并产生收入,具有强劲的发展势头。
第三,表外数字资产驱动的蚂蚁集团盈利模型呈现出与传统金融机构不一样的特征。蚂蚁集团呈现出典型的“轻”资产负债表及“重”利润表的特点,在弱金融监管环境下可以在无需扩表的前提下实现盈利的持续提升,即以表外数字资产驱动盈利增长。以蚂蚁集团的微贷业务为例,蚂蚁集团微贷资金只有很小一部分来源于资产负债表(表内)的自有资金、贷款融资,其大部分来源于表外的ABS⑦、助贷与联合贷款。截至2020年6月30日,蚂蚁集团招股说明书中披露的微贷科技平台促成的信贷余额达到2.15万亿元⑧,而2017年该平台促成的信贷余额仅为6475亿元。在这2.15万亿元的信贷余额中,计入招股说明书合并资产负债表⑨内“发放贷款和垫款”项目的金额仅为362.42亿元,占比仅为1.69%。即使加上蚂蚁集团下两家小贷公司⑩的ABS发行及蚂蚁生态内的网商贷款,蚂蚁集团下的贷款规模仍然仅占总信贷余额的10%左右,剩下的约90%的信贷余额均由蚂蚁集团助贷或联合贷款功能实现。
(2)现有估值方法与蚂蚁集团商业模式本质的不匹配性分析
借助“BASIC”等基础信息技术的赋能,蚂蚁集团的商业模式布局肇始于“数字支付”下的技术支持,不断延展至环保公益、信用免押、挂号看病等丰富的“数字生活”,成功为蚂蚁集团引流,进而通过数据驱动的金融服务,逐步形成了蚂蚁集团微贷、理财、保险三大平台业务,实现了“数字金融”流量变现,这也是当前蚂蚁集团营业收入增长的主要来源。
在普惠金融目标的驱动下,蚂蚁集团所定位的“优质长尾”会呈现出爆发式增长,有力构建了蚂蚁集团强大的协同效应和良性循环的金融生态,未来还将基于其金融生态下的大数据特色充分利用数据库、区块链等智能技术进行金融创新,拓展蚂蚁集团创新业务。
现有的科技金融企业估值主要直接借用以下三类方法:其一,以市场比较法、收益法(DDM、FCFE、FCFF)和期权法(Black-Scholes)为主的传统估值方法;其二,对传统方法的修正与组合,如剩余收益估价模型(Residual Income Valuation)、EVA、FCFE模型与蒙特卡洛模拟相结合等;其三,以梅特卡夫定律(Metcalfe's Law)为代表的互联网企业估值方法。
从单个估值方法来看,传统估值方法、对传统方法的修正与组合抑或是互联网企业估值方法都不能完全适用于类似于蚂蚁集团的金融科技企业的估值,其估值框架的局限性及其与蚂蚁集团的不匹配性如表2所示。

综合表2的分析,鉴于蚂蚁集团自身商业模式的特点,现有估值模型的直接运用会产生诸多局限性及与蚂蚁集团的不匹配性,蚂蚁集团现有的IPO估值体现了严重的估值逻辑扭曲。长期而言,扭曲的估值逻辑会给资本市场带来不利的经济后果与负面示范效应:
第一,蚂蚁集团原定的2.1万亿元估值显然是简单地参照互联网公司的估值模型来定价的,体现了典型的重“科技属性”轻“金融属性”的估值导向,在很大程度上偏离了蚂蚁集团当前商业模式的本质,即本应为主要的科技金融属性+次要的金融科技属性。第二,蚂蚁集团现有的IPO估值未充分考虑所处的金融监管环境变革所产生的系统性影响,未纳入金融风险、技术风险等风险要素对蚂蚁集团价值的重大修正。第三,蚂蚁集团现有的IPO估值在方法论上未体现蚂蚁集团金融生态的估值哲学。在普惠金融目标的驱动下,“金融+科技+生态战略”的组合使得蚂蚁集团具备产生“长尾效应”的能力,对蚂蚁集团的估值不能简单地通过分部业务相加获得,而是需要考虑蚂蚁集团金融生态下的协同效应。这是一个新的估值理论问题。
2
金融监管变革背景下蚂蚁集团估值逻辑初探
(1)金融监管环境变化对蚂蚁集团的基本影响
蚂蚁集团的“科技金融”属性导致监管机构对蚂蚁集团的金融监管面临全新的挑战。截至2020年6月,蚂蚁集团下的两家小贷公司仅发行ABS就达到6822亿元,而两家小贷公司的净资产合计为358.2亿元,巨大的业务体量背后也伴随着不可估量的风险。
在传统监管环境下,对蚂蚁集团的金融监管呈现出监管力度不足、监管信息滞后甚至部分业务呈现监管空白等问题。监管力度不足的原因在于无法充分估计互联网平台的技术影响,蚂蚁集团提供的第三方服务的频率、程度都不同于传统金融机构,这使得传统金融监管力度对蚂蚁集团的作用会明显疲弱,并伴随蚂蚁集团服务规模不断扩大而形成新的风险;
监管滞后源于难以同金融科技更新速度匹配,不仅仅局限于监管能力滞后,还包括配套监管数据的缺失、数据真实性问题以及潜在的隐私问题;监管空白伴随着金融业务的新形式、新技术、新业态而产生,监管真空区会滋生大量的金融隐患。以新金融企业加密资产和数字货币为例,该类资产不受地理边界的约束,可能助长跨境套利,如果没有国际监管协作,则一国的监管规定在另一国境内难以发挥作用。
因突发的“监管约谈”及科技金融监管环境发生变化等重大事项,蚂蚁集团IPO被迫按下了暂停键。良好的金融监管环境是科技金融企业健康、有序发展的基础保障。“互联网金融”的本质仍没有超越金融范畴,金融监管框架意在“投资者保护”。金融科技面临着金融与科技双维度风险,坚持科技治理和法律治理相结合的监管体系能及时、有效地应对各类风险。
金融业务风险是蚂蚁集团当前主要的风险来源,金融业务会受到金融监管环境变化的直接影响,严格的监管环境会促使蚂蚁集团调整原有的业务模式,甚至限制部分业务的发展,这将导致蚂蚁集团的估值产生重大修正。以《网络小贷办法》为例,蚂蚁集团的监管环境将产生巨大变化:
出资比例、融资规模
《网络小贷办法》规定单笔联合贷款网络小贷公司的出资比例不得低于30%。在此之前,并未对经营网络小贷业务的小贷公司的最低出资比例作出限制,这就促成蚂蚁集团的蚂蚁小贷以360亿元表内贷款驱动18000亿元联合贷款,以1%~2%出资比例撬动的联合贷款埋下了潜在的金融风险。
调整过后,蚂蚁集团面临增加出资比例或者缩减融资规模的压力。
注册地
《网络小贷办法》规定经营网络小贷业务的公司所使用的互联网平台运营注册地和该小贷公司的注册地要在同一省、自治区、直辖市行政区域内。在此之前,鉴于不同省市的融资杠杆差异,蚂蚁集团选择在重庆注册小额贷款公司牌照,然后通过互联网在全国开展小贷业务,严格来讲这在其他省份属于非法金融活动,不在监管范畴之内。
调整过后,蚂蚁集团需要同步支付宝与两家网络小贷公司的注册地,遵循同一注册地点的相关规定。
贷款业务成本
《网络小贷办法》对贷款金额和贷款用途作了进一步限定。限制自然人户均贷款余额上限为30万元或年收入的三分之一,法人和其他组织及其关联方贷款余额不超过100万元;要求网络小贷公司明确约定并监控贷款者的贷款用途,而且贷款者获得的贷款不能用于债券投资、股票投资、购房等。这要求蚂蚁集团进一步加强对贷款业务金额和后续用途的监管,增加了蚂蚁集团现有的贷款业务成本。
鉴于金融监管环境变革对科技金融企业金融业务的直接影响,我们有必要将金融监管环境变化所形成的监管指标代入估值模型。
(2)蚂蚁集团估值模型风险要素的引入逻辑
科技金融风险(TechFin Risk)
互联网平台存款具有开放性、利率敏感性高、异地客户为主、客户粘性低、随时支取等特征,存款稳定性远低于线下。
如前所述,蚂蚁集团商业模式本质上是以科技金融为主要特征的“金融创新”企业,相较于传统企业,互联网平台的引入使得企业的微观金融风险被进一步放大,此类新金融企业面临更为严峻的金融风险。
具体来看:第一,流动性风险。蚂蚁集团通过大量表外融资的方式开展金融业务,使得企业自身应对不良贷款的流动性能力受限。第二,客户风险。蚂蚁集团定位于年轻一代和优质长尾客户,而无论是年轻一代的超前消费理念还是长尾客户过度借款都会增加企业借贷的违约率,从而对企业借贷、消费等基础金融业务产生影响。第三,信用风险。在传统金融企业中主要指一方违约所带来的风险,对于基于大数据的科技金融企业来说,还包括因信用评估模型的数据质量和完整性有限,从而产生的数据误用及数据泄露,这将影响蚂蚁集团依赖客群信用业务的展开。
数字金融极大地改变着金融服务的提供方式和金融产业格局,这些新型金融服务提供商必然会对金融稳定产生影响。同时,这些金融服务商也会受到金融环境系统性金融风险的影响,系统性风险由多种内外部因素引起,会对企业所处的金融环境造成冲击。
科技金融企业的高杠杆融资方式使行业中的风险快速集聚,这种高杠杆的融资会产生极大的风险隐患,一旦底层借款人发生违约,则会诱发系统性金融风险。因此,对蚂蚁集团的估值不可避免地要考虑其微观层面的金融风险和系统性金融风险两方面所带来的影响,并在其估值模型中体现出来。
金融科技风险(FinTech Risk)
金融科技风险是蚂蚁集团金融科技属性特有的风险,具体包括人工智能、风险管理、安全、区块链、物联网、计算及技术基础设施等基础技术风险,以及科技战略布局拓展下的特定技术创新风险。
技术风险会作用于企业技术平台,甚至作用于企业的商业模式。蚂蚁集团的商业模式决定了其除了会受到行业系统性风险、金融风险、监管风险、利率风险、政策风险等市场风险的影响,其潜在的技术风险也会影响企业依托技术平台的相关业务的发展,从而间接影响企业价值。
金融科技风险除了会影响蚂蚁集团自身的微贷、理财、支付、保险四大科技金融业务,还会影响到由蚂蚁集团提供金融科技服务的其他金融企业。因此,金融科技风险具有显著的传染性和放大效应,必须将其纳入蚂蚁集团的估值框架。
(3)金融监管变革背景下蚂蚁集团估值的构成要素
金融监管变革对蚂蚁集团的影响是全方位且持久的。蚂蚁集团的估值基础来源于基础价值和溢出价值两部分。其中:基础价值由蚂蚁集团商业模式下的科技金融业态价值与金融科技业态价值两部分构成;溢出价值侧重于科技金融生态圈溢出效应,由企业整合能力、创新能力、匹配程度构成。
以商业模式为起点的基础价值
商业模式是蚂蚁集团价值创造逻辑的起点,驱动企业技术平台和金融业态的建设。商业模式创新可以通过降低交易成本和增加价值增长点来助力企业实现价值创造,互联网金融商业模式的混业经营特征不仅模糊了传统金融机构的边界,而且模糊了金融产品与服务的边界,在创新与改革传统金融商业模式的基础之上,还带来了范围经济与规模效应等优势。
结合蚂蚁集团拥有大量的用户、客群、商业伙伴等特征,已有学者先后提出了商业模式的概念模型,本文考虑采用Osterwalder和Pigneur提出的九要素模型来衡量企业的商业模式,具体包括核心能力、资源配置、价值主张、分销渠道、目标顾客、伙伴关系、客户关系、成本结构、盈利模式九个要素。
金融科技平台是蚂蚁集团商业模式下金融业态的支持系统,支持企业的金融产品、丰富企业的金融服务。蚂蚁集团的科技属性主要在于产品创新、技术升级所共同引发的未来科技变革。鉴于蚂蚁集团不可忽视的未来科技变现价值,应在其估值模型中体现一定的科技附加价值。
企业科技属性涉及活跃用户数、数字化程度、交互程度、网络效应、人才等多个要素,尤其是活跃用户数。不同于边际价值递减的传统行业,互联网环境下用户数量的增加会带动互联网企业价值的提升,互联网企业价值提升又会吸引更多用户使用,逐步形成良性循环。
蚂蚁集团目前的主要用户包括交易平台、商家、金融机构合作伙伴(银行、基金管理公司、保险公司、证券公司及其他持牌金融机构)、企业及机构客户等,具有海量用户支持和较高的用户粘性。此外,人才也是金融科技企业的关键资源,科技属性下的人才是具有一定创新能力和创新精神、提供技术支持、承担关键技术研发的企业人才。截至2020年6月30日,蚂蚁集团拥有16660名员工,其中技术人员10646名,占总员工的比例高达64%,未来具有较高的人才价值转换潜力。
以金融生态为前提的溢出价值
金融生态是蚂蚁集团的主要价值创造来源。受商业模式驱动和技术平台支持,金融监管变革下的金融生态主要是指企业当前的支付、微贷、理财、保险四大平台业务。“科技+金融”复合的金融生态催生了蚂蚁集团的溢出价值,其中“科技+金融”是指基于原有商业模式的技术平台和金融业态融合,共同创造出企业的增量价值。Moore从企业生态观的视角出发,认为优秀的商业模式可以类比为运行良好的生物生态系统。
蚂蚁集团的金融生态指的是蚂蚁集团生态圈内的金融“多物种”,其招股说明书中显示“支付宝App年度活跃用户超10亿人,月度活跃商家超8000万家,月度活跃用户达7.11亿人,数字金融年度活跃用户达7.29亿人,金融机构合作伙伴超2000家,接受线上支付服务的国家和地区超200个”,进一步对丰富的金融“物种”进行排列组合,从而形成蚂蚁集团的溢出价值。
张忠寿、高鹏指出,科技金融生态系统是一个不同“物种”间通过资源互补和互利合作实现协同创新的价值创造过程。罗文波、陶媛婷提出,可通过完善科技与金融信息共享平台、创新贷款模式、打造科技金融生态圈、培育复合型科技金融人才、强化科技金融风险管理等,实现科技金融与科技创新的深入协同。
蚂蚁集团科技金融企业的溢出价值主要在于企业的创新、整合和匹配所带来的价值共创。创新是指通过技术平台创新来打造企业的新金融业态及新的商业布局,从而在竞争中取得优势;整合是指通过对用户、平台等各类资源的有效整合,实现资源效用的最大化;匹配是指企业的创新价值同企业商业模式的匹配。
综上,金融监管变革背景下蚂蚁集团的基本估值逻辑如图2所示。

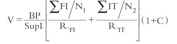
基于前述估值逻辑,本文拟初步构建蚂蚁集团的估值模型,这一估值模型的核心思想包括:第一,契合蚂蚁集团的商业模式本质;第二,合理估计金融监管变革下科技金融风险和金融科技风险对企业基础价值的影响;第三,充分体现蚂蚁集团互联网金融生态所带来的溢出价值。蚂蚁集团初步估值模型如下:

其中:V表示企业价值;BP表示企业商业模式价值,基于Osterwalder和Pigneur的九要素模型价值函数进行计量;SupI表示对企业的监管强度,该指标值越大,表明企业面临的金融监管环境越严格;FI表示企业科技金融业态的价值创造,采用加权平均资本成本的两阶段模型进行计量;R`FI表示企业的科技金融风险;IT表示企业金融科技所带来的价值创造,依据梅特卡夫定律提出的国泰君安模型计量;R`IT表示企业的金融科技风险;N1、N2分别表示企业科技金融业务模块和金融科技业务模块在产品市场中的同类竞争程度,即企业占有垄断优势,系数值越小,该模块所带来的价值越高;C表示企业在“金融+科技”下的生态协同效应系数,反映企业生态溢出价值占企业基础价值的比例。在上述模型中,FI和IT都需要细分具体的业务领域进行计量。
在上述估值模型中,BP是关于企业商业模式九要素指标的价值函数,表达如下:

在上述估值模型中,单项FI表示当前某项科技金融业务的价值,表达如下:

其中:FCFEt表示预期第t年的公司自由现金流;FCFEn+1表示预期第n+1年的公司自由现金流;WACC表示加权平均资本成本;g表示n年后稳定的增长率。
在上述估值模型中,单项IT表示当前某项金融科技业务的价值,表达如下:

其中:K指变现因子;R指节点的距离;N指用户规模;P指溢价率系数。
在上述估值模型中,C是关于企业创新能力指标、整合能力指标、匹配程度指标的价值函数,表达如下:

不同于传统的单一估值方式,该估值模型是一个复合估值模型,结合了不同属性业务的估值方法,其主要创新之处在于:第一,提出将科技金融业务与金融科技业务分离进行估值;第二,将商业模式评价、科技金融风险与金融科技风险要素纳入估值框架;第三,添加了企业金融生态的溢出价值。
鉴于部分指标实际取值无法定量估算,本模型仅为初步估值框架(逻辑),主要为此类企业提供估值思想与基本估值逻辑。我们认为,蚂蚁集团等科技金融企业的出现可能会改变传统的估值模型,需要结合商业模式评价、风险要素变化、业务属性、生态溢出价值等内容,以适应科技金融企业的价值计量需求。
3
结论与政策含义
蚂蚁集团的IPO历程必将在我国资本市场留下深刻的印记。鉴于蚂蚁集团“金融+科技”的复杂属性,对蚂蚁集团的估值首先必须厘清蚂蚁集团商业模式的本质。金融科技与科技金融是两个模糊而未被清晰定义的概念,在学术界与实务界被广泛交替地使用。对蚂蚁集团的现有估值是简单参照科技企业进行的,该项IPO估值在不同类型的投资者、监管者及其他利益相关者之间引发了极大的争议,长期来看,扭曲的估值水平可能会给资本市场带来不利的经济后果。
本文的研究表明,蚂蚁集团并未颠覆现有金融体系的业务和功能范畴,其当前收入的主要来源并非金融科技服务,其商业模式的本质是科技驱动的金融企业,即应以科技金融属性为主、以金融科技属性为辅。换言之,蚂蚁集团首先应属于金融企业,但其金融服务供给模式和商业运营模式又明显有异于其他传统金融企业,主要表现在:第一,蚂蚁集团的生态战略或平台战略导致边际成本递减,从而产生“长尾效应”。第二,注重金融科技的能力输出,即通过对传统金融机构的互联网等技术赋能创造收入。第三,表外数字资产驱动的盈利模型呈现出与传统金融机构不一样的特征。
传统估值方法、对传统方法的修正与组合抑或是互联网企业估值方法都不能完全适用于类似于蚂蚁集团的企业的估值,现有估值模型的直接运用会产生诸多局限性及与蚂蚁集团的不匹配性。为此,本文初步构建了蚂蚁集团的估值逻辑,这一估值逻辑的核心要素包括:第一,契合蚂蚁集团的商业模式本质;第二,合理估计金融监管变革下科技金融风险和金融科技风险对企业基础价值的影响;第三,充分体现蚂蚁集团金融生态所带来的溢出价值。不同于传统单一估值方式,本文初步构建的蚂蚁集团估值模型是一个复合估值模型,结合了不同属性业务的估值方法,其主要创新之处在于:第一,提出将科技金融业务与金融科技业务分离进行估值;第二,将商业模式评价、科技金融风险与金融科技风险要素纳入估值框架;第三,添加了企业金融生态的溢出价值。
总体而言,当前我国资本市场对蚂蚁集团现有2.1万亿元的扭曲估值是由估值方法论缺陷和当前我国资本市场总体伦理水平共同决定的:前者可以解释市场对“科技+金融”复杂属性企业的价值认知缺陷,后者可以解释蚂蚁集团扭曲估值背后所存在的一定程度的“有意视而不见”现象。需要特别指出的是,公司估值永远是一门“艺术”,市场最终的估值水平由理性的估值逻辑和市场伦理水平共同决定,资本市场中的估值伦理问题与理性的估值方法论同等重要。
因此,资本市场利益相关者与监管部门除了要关注估值逻辑,更应关注注册制背景下具有复杂属性与复杂业态的公司在估值过程中可能出现的由重大利益和信息不对称驱动的非伦理现象。研究注册制背景下“有效市场如何发现有效价格”的保障机制并杜绝潜在的估值非伦理行为成为一个新兴的重大课题。
注释
①在2020年7月20日蚂蚁集团宣布计划在上交所和港交所同步发行上市的前一个月,支付宝母公司由“浙江蚂蚁小微金融服务股份有限公司”更名为“蚂蚁科技集团股份有限公司”,以“科技集团”替代“金融服务”,强调科技属性的意味较为明显。
②2004年10月,美国《连线》杂志主编克里斯·安德森(Chris Anderson)在他的文章中第一次提出长尾理论,他认为:商业和文化的未来不在热门产品,不在传统需求曲线的头部,而在于需求曲线中那条无穷长的尾巴。长尾效应的根本就是强调“个性化”“客户力量”和“小利润大市场”,也就是要赚很少的边际利润,但是要赚很大的总利润(因为客户数量非常多),即将市场细分到很细很小的时候,就会发现这些细小市场的累计会带来明显的长尾效应,也就是说,将所有非流行(主流)的市场累加起来就会形成一个比流行(主流)市场更大的市场。
③二八定律又名80/20定律、帕累托法则(Pareto's Principle),在传统金融行业中指的是将重心放在中高端客户,即以20%的客户创造80%的利润。
④也有批评的声音指出,由于蚂蚁集团可以服务到传统金融机构无法覆盖的金融对象,其金融便捷性以及因金融便捷性导致的“议价能力”使其“普惠金融”衍变成“普贵金融”或者是“普而
惠”。以蚂蚁集团的花呗为例,其日利率为万分之四左右,折合年利率为15%左右,而目前四大银行一年以内贷款利率为4.35%、一年以上五年以内贷款利率为4.75%、五年以上贷款利率为4.9%。因此,与传统银行相比,蚂蚁集团贷款利率明显过高,存在“高利贷”现象,再叠加其边际成本趋于零的特征,蚂蚁集团的利润表必然呈现出“暴利”特征,这将诱发对互联网网贷平台的反垄断管制。但我们仍然相信,蚂蚁集团的生态或平台战略使其具备“普惠”的能力,而最终是否“真实普惠”则取决于其在使命、盈利需求与商业伦理之间是否能实现恰当的平衡。
⑤Block Chain(区块链)、AI(人工智能)、Security(安全)、IoT(物联网)和Cloud Computing(云计算)简称“BASIC”。
⑥蚂蚁区块链,融合了区块链、AIOT、智能风控等技术,在电子票据、物流运输、版权保护、跨区出行等众多场景上都有运用。
⑦ABS(Asset-backed Securities)即资产证券化,是指以项目所属的资产为支撑,以项目资产可以带来的预期收益为保证,通过在资本市场发行债券来募集资金的一种项目融资方式。
⑧各期末公司平台促成的消费信贷或小微经营者信贷余额,包括金融机构合作伙伴(含网商银行)和公司控股的金融机构子公司的相应信贷余额以及已完成证券化的信贷余额。
⑨资产负债表内“发放贷款和垫款”项目的余额仅包括各期末公司通过合并范围内的子公司(主要为蚂蚁商诚、蚂蚁小微、商融保理)。
⑩两家小贷公司分别指重庆市蚂蚁商诚小额贷款有限公司及重庆市蚂蚁小微小额贷款有限公司。
截至2020年6月30日,蚂蚁集团平台促成的消费信贷余额总计为320亿元,其中98%的信贷余额由金融机构合作伙伴实际进行贷款发放。蚂蚁集团通过助贷、联合贷款促成的消费信贷,仍需要全面参与贷款审批、风险管理、支用及还款等流程,如果缺乏有效的金融监管,同蚂蚁集团自身借贷一样,助贷、联合贷款也会产生过度借贷、重复授信、不当催收、畸高利率等金融风险。
传统估值中的成本法明显不适用于具有大量表外资产的金融科技企业,会显著低估金融科技企业的价值。
我们认为,当前我国资本市场对蚂蚁集团现有2.1万亿元的扭曲估值逻辑存在一定程度的“有意视而不见”,这一现象的产生及其解释,在本质上由当前我国资本市场的总体伦理水平决定。
《关于暂缓蚂蚁科技集团股份有限公司科创板上市的决定》中称:“近日,发生你公司实际控制人及董事长、总经理被有关部门联合进行监管约谈,你公司也报告所处的金融科技监管环境发生变化等重大事项。该重大事项可能导致你公司不符合发行上市条件或者信息披露要求……”
重庆市允许的融资杠杆为2.3倍,其他省市为0.5倍。
主要参考文献
[1]韩洪灵.蚂蚁集团在科创板IPO 的多重示范意义[N].浙江日报,2020-07-22.
[2]陈汉文,韩洪灵.商业伦理与会计职道德[M].北京:中国人民大学出版社,2020:392 ~ 404.
[3]董昀,李鑫.中国金融科技思想的发展脉络与前沿动态:文献述评[J].金融经济学研究,2019(5):38 ~ 52.
[4]Quarles R. K.. A Speech at the Joint Conference of the EuropeanCentral Bank and the Journal of Money,Credit,and Banking[R].Frankfurt:The Financial Stability Board,2019.
[5]孙国峰.金钉子:中国金融科技变革新坐标[M].北京:中信出版集团,2019:20 ~ 22.
[6]李春涛,闫续文,宋敏等.金融科技与企业创新——新三板上市公司的证据[J].中国工业经济,2020(1):81 ~ 98
[7]李文红,蒋则沈.金融科技(Fin Tech)发展与监管:一个监管者的视角[J].金融监管研究,2017(3):1 ~ 13.
[8]房汉廷. 关于科技金融理论、实践与政策的思考[J].中国科技论坛,2010(11):5 ~ 10+23.
[9]赵昌文,陈春发,唐英凯.科技金融[M].北京:科学出版社,2009:10 ~ 45.
[10]李心丹,束兰根.科技金融——理论与实践[M].南京:南京大学出版社,2013:23 ~ 25.
[11]徐涛,周文泳,尤建新等.科技金融文献述评:基于可视化工具的分析[J].上海管理科学,2019(6):120 ~ 125.
[12]侯世英,宋良荣.金融科技、科技金融与区域研发创新[J].财经理论与实践,2020(5):11 ~ 19.
[13]张非鱼.关于金融创新与监管的几点认识[EB/OL].https://www.yicai.com/news/100819921.html,2020-10-31.
[14]F. Modigliani,Merton H. Miller. The Cost of Capital,Corporation Finance and Theory of Investment[J].The American Economic Review,1958(3):261 ~ 297.
[15]Black F.,M. Scholes. The Pricing of Options and Corporate Liabilities[J].Journal of Political Economy,1973(3):637 ~ 654.
[16]Preinreich G. A. D.. Annual Survey of Economic Theory:The Theory of Depreciation[J].Econometrica,1938(3):219 ~ 241.
[17] Ohlson J.. Earnings,Book Values and Dividends in Security Valuation[J].Contemporary Accounting Research,1995(2):661 ~687.
[18]黄世忠.新经济企业估值迷思解析框架[J].商业会计,2020(3):4 ~ 7.
[19]杨桦.蒙特卡洛模拟模型在投资决策中的应用[J].中国管理信息化,2012(8):62 ~ 64.
[20]Schwartz E. S.,Moon M.. Rational Pricing of Internet Companies Revisited[J].Financial Review,2001(4):7 ~ 26.
[21]孙天琦.对数字金融/金融科技与金融稳定关系的几点思考[EB/OL].http://opinion.caixin.com/2020- 11- 10/101625408.html,2020-11-10.
[22]赵渊,罗培新.论互联网金融监管[J].法学评论,2014(6):118~ 126.
[23]刘江涛,罗航,王蕊.防范金融科技风险的二维逻辑——基于监管科技与科技驱动型监管视角[J].金融发展研究,2019(5):22 ~27.
[24]张新民,陈德球.移动互联网时代企业商业模式、价值共创与治理风险——基于瑞幸咖啡财务造假的案例分析[J].管理世界,2020(5):74 ~ 86+11.
[25]范逸男,任晓聪.互联网金融监管体系改革进路研究——基于创新协同角度[J].西南金融,2020(3):35 ~ 41.
[26]Osterwalder A.,Pigneur Y.. Towards Strategy and Information Systems Alignment through a Business Model Ontology[C].23d Conference of Strategic Management Society,2003.
[27]秦志华,王永海.商业模式的企业价值测评功能与内容结构[J].中国人民大学学报,2013(3):70 ~ 79.
[28]曾丽婷.基于梅特卡夫模型的互联网初创企业价值评估[J].财会通讯,2019(23):58 ~ 62.
[29]Moore J. F.. Predators and Prey:A New Ecology of Competition [J].Harvard Business Review,1993(3):75 ~ 86.
[30]张忠寿,高鹏.科技金融生态系统协同创新及利益分配机制研究[J].宏观经济研究,2019(9):47 ~ 57+66.
[31]罗文波,陶媛婷.科技金融与科技创新协同机制研究[J].西南金融,2020(1):23 ~ 32.





