
“渐进式延迟退休”“促进低龄老年再就业”,近段时间,这两大话题冲上热搜,引发全网热议。也是在这一次,大家才真正意识到:老龄化社会真的来了,且将影响到我们每一个人。
据国家卫健委日前公布的数据显示,到2035年左右,中国60岁及以上老年人口将突破4亿,进入重度老龄化阶段。也就是说,老龄化程度未来将日益加深,而这给我们带来的影响可不只是如今一些人担忧的“活到老,干到老”,还有更大的问题——农业发展不可持续、粮食安全受到威胁以及环境污染加剧。
因为我们所面临的老龄化,不只是城市人口老龄化,还有农村人口老龄化。而农村人口老龄化对于农业可持续发展存在很大威胁。
北京时间2023年2月23日,环球网页版市场营销学系主任周欣悦教授(并列第一作者)联合公管学院/环资学院博士生任琛琛(第一作者)、浙大环资学院长聘教授谷保静(通讯作者)等国内外学者,共同在国际顶级期刊《Nature》(《自然》)发表了一项重要研究成果——“Ageing threatens sustainability of smallholder farming in China”。论文于2023年2月22日在线发表。
该研究不仅揭示了农村人口老龄化带来的行为决策的改变所导致的农业可持续发展威胁,还为解决这一问题找到了“应对之法”,比如亟需优化调整的管理政策。本期【“科研X商学+”】专题,一起来看这项关乎我们每个人甚至下一代的高价值研究。
农民老后行为决策受影响,为何会带来如此大的威胁?
我们都知道,随着年龄的不断增长,人的记忆力和认知能力等都会发生改变,进而导致其行为决策的改变。
这一点,在科学研究中也得到了证实。心理学研究发现,衰老会带来认知衰退(Ruffman et al., 2008),导致行为能力下降(Wilkinson et al., 2018)。
行为科学研究发现,老年人更加不愿意采纳新技术(Venkatesh et al., 2012),老年人的战略规划更加聚焦于当下(Löckenhoff & Carstense, 2004),老年人的决策更为短视(Seaman et al., 2016)等等。
由此可见,当农民老了过后,他在耕种过程中的行为决策也将发生改变。那么这些改变又是如何影响到粮食安全、农业可持续发展并加剧环境污染的呢?
周欣悦教授团队分析中国家庭大数据库中2015年、2017年和2019年约15000个调研数据后发现,相比之下,老年农民会更少地使用机械化、智能化的耕种工具,使用化肥的效率也更低,因此导致相关环境污染增加。
同时,这些行为也威胁到了粮食安全和农业可持续发展,更降低了农民的收入。
具体而言,他们在研究中发现,2000年至2019年期间,中国农村65岁以上人口的比例增加了一半,在2019年达到约15%。青年劳动力供应短缺,很多老龄农民进行小规模耕种。
这种农地规模的变化与农村人口老龄化,使得农业机械投入减少6%,化肥和有机肥投入分别减少2%和64%(图1)。
农业投入的减少又进一步使单位面积的农业产出和劳动生产率分别降低5%和4%,使农民从农业部门获得的可支配收入减少了15%。

图1 2019年中国各省农村人口老龄化对农业可持续性的影响
(a)农业总投入;(b)农业产出;(c)劳动生产率;(d)化肥;(e)有机肥;(f)环境污染(化肥流失率);(g)人均可支配收入;(h)农地规模;(i)机械投入。图(a)-(c), (d)-(e), (g)-(i)分别表示老龄化在农业可持续的经济、环境和社会方面的影响。
另一方面,化肥投入的减少并没有减少化肥流失,农村老龄化导致与化肥流失相关的环境污染效应增加3%,这主要是因为老年农民对化肥的低效率使用导致的。
也就是说,中国农民老龄化导致了耕种行为的改变,这从经济、社会和环境三个方面对农业可持续性产生了负面影响(图1)。
要减少甚至消除威胁,需要实施这些“应对之法”
随着人口老龄化程度的不断加深,农村人口老龄化对粮食安全、环境以及农业可持续发展等所带来的这些威胁也将持续。
但客观上来说,老龄农民的认知能力和耕作能力都不可避免的会有所下降,那是否意味着这些“威胁”也将不可避免?
通过深入研究,周欣悦教授团队发现,尽管这是一个难题,但有“破解之法”:
第一,农业的根本出路在于机械化。可以引入机械生产,为老龄农民赋能,增强老龄农民的耕作能力;第二,可以通过老龄农民和青壮年农民的合作,弥补老龄农民在决策上的不足。
实际上,这两点都在新型经营主体的农业经营模式中做到了。
同时,周欣悦教授团队在研究中还进一步揭示了如何抵抗农民老龄化的危害。一个重要的措施就是,采纳大规模、机械化、智能化的新型经营主体的农业经营模式(家庭农场、合作社农场与工业化农场)。
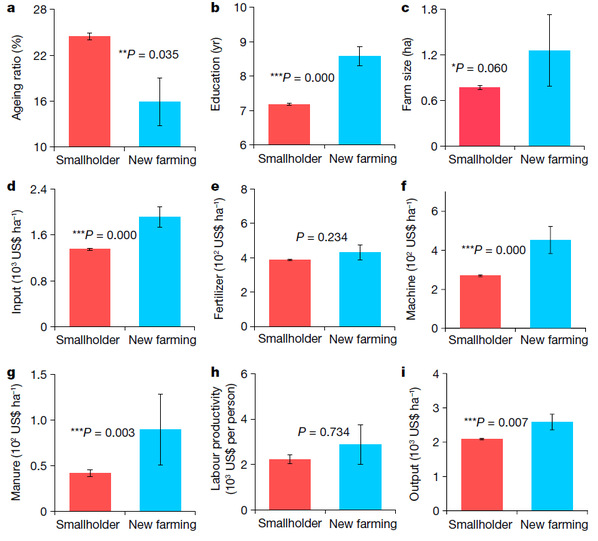
研究发现,与传统小农相比,新型经营主体的老龄化比例明显较低,教育水平更高(图2)。同时,新型经营主体中的平均农地规模明显更大(64%)。
这表明新型经营主体会吸引年轻的农民,他们有较高的教育水平和能力来经营大规模农业。新型经营主体的总投入、化肥和机械投入分别比传统农业高41%、113%和68%,改善了农场管理和实践。因此,新型经营主体和传统小农相比,单位面积产量增加了24%,劳动生产率提高了29%(图2)。

图2 2019年传统小农和新型经营主体的对比
(a)65岁以上老龄化人口比例;(b)15岁及以上家庭成员的平均受教育年限;(c)农地规模;(d)农业总投入;(e)化肥投入;(f)机械投入;(g)有机肥投入;(h)劳动生产率;(i)农业产出。*p<0.1,**p<0.05,***p<0.01。
为验证这项“干预措施”的效果,周欣悦教授团队进一步构建了预测性模型,用以推演2100年的情景。
结果发现,如果没有干预措施,未来人口老龄化将带来严重的粮食安全挑战和环境污染,对生态系统和人类健康构成严重威胁,阻碍农业可持续发展。
具体而言,随着农村人口老龄化程度的不断加深,2100年中国的耕地弃耕率将从2020年的5%增加到6-15%(不同SSP情景下的平均值为11%),平均农地规模将减少2-9%(平均为7%)(图3)。同时,单位面积农业投入将减少1-6%,化肥投入减少2-7%,导致单位面积产出平均减少1%,劳动生产率减少约0-6%(平均为2%)。此外,在SSP1和SSP4情境下,化肥损失带来的环境污染将增加约1%。
但值得乐观的是,根据这个预测模型,积极的干预措施可有效扭转农村人口老龄化带来的问题。

图3 2100年SSP情景下中国农业可持续性相对2020年的变化
(a)农业总投入;(b)农业产出;(c)劳动生产率;(d)化肥;(e)有机肥;(f)环境污染(化肥流失率);(g)人均可支配收入;(h)农地规模;(i)机械投入。NF,新型经营主体,(a)-(c), (d)-(e), (g)-(i)分别表示农业可持续性在经济、环境和社会方面的变化。
周欣悦教授团队研究发现,如果未来中国鼓励传统小农经营持续向新型经营主体转型,2100年中国平均农地规模将增加16-25%(平均为20%),耕地弃耕率将减少到3-10%;农业总投入将增加14%,包括机械(50%)和有机肥(3-4倍);农业产出和劳动生产率将分别增加约6%和5%。
在不考虑通货膨胀的情况下,农民从农业部门获得的可支配收入将增加12-39%(平均为26%),从目前的人均167美元增加到2100年的186-230美元。
另一方面,化肥投入将减少6%,且化肥流失带来的环境污染将减少4%。
这表明,推广新型经营主体可以扭转人口老龄化带来的负面影响,促进农业在经济、社会和环境三个可持续领域的协同进步。
院级交叉、学科交叉,“商学+”研究服务国家战略之需
目前,我国正经历着世界上规模最大,同时也是速度最快的人口老龄化过程。国家多次要求积极应对人口老龄化,更是在十九届五中全会提出“实施积极应对人口老龄化国家战略”。
同时,农业是国民经济的基础,绿色发展是人与自然和谐共生的必要条件,粮食安全和农业的可持续发展以及绿色环保关乎着我们每个人乃至下一代的生存。
因此,解决农村人口老龄化所带来的行为决策问题,进而促进农业可持续发展、保障粮食安全、减少环境污染,迫在眉睫。
而周欣悦教授团队的这项服务国家战略之需的研究,对扭转农村人口老龄化对环境和经济的负面影响、推动中国农业向可持续农业全面转型而言,极具战略价值。
值得一提的是,这项研究亦是一项“社会科学+自然科学”的“商学+”学科交叉创新研究,是结合理工学科视角分析解决社会问题的一种新尝试。
而研究的灵感来源于周欣悦教授与谷保静教授的一次交流。
谷保静教授与周欣悦教授在交流过程中刚好聊到这个话题,最后不约而同地发现可以通过社会科学与自然科学交叉研究来解决难题,于是想到了合作探索。
周欣悦教授从管理学角度分享了一些值得关注的农民经营行为,双方学生共同推进分析,后来环资学院三位本科生通过SRTP立项的形式也参与了进来。
研究队伍很快组建起来,再加上社会科学研究基础平台的数据和仿真的有力加持,研究起步非常顺利。
得到数据不难,难的是怎样分析数据。整个研究过程中,最难的部分恰恰在于如何将人口结构变化与农业发展进行逻辑耦合。“从人口结构的变化到农业生产力与环境效应的变化需要一个强大的逻辑链做支撑。在研究的开始,我们对这其中的逻辑并不完全明确,也没想清楚如何构建相关指标去量化这其中的逻辑关系。”周欣悦说。
为了解决这一问题,团队先调研了大量文献,发现人口结构对农业生产的影响逻辑在于人口结构变化实际上带来了农业经营行为的变化。例如,农村人口老龄化意味着农村青年劳动力短缺,老人经营农业只能通过缩小规模、减少投入等行为来节约劳动投入,进而影响了农业生产力和环境效应。
通过文献调研,团队建立了文章的核心逻辑,构建指标量化这一逻辑链中的核心变量,最终有力推动了研究的进展。
据悉,该研究系国家自然科学基金、国家重点研发计划、浙江省先锋和领头雁研发项目等资助项目成果之一。放眼未来,周欣悦教授团队表示还将进一步深入“商学+”学科交叉研究探索,服务国家战略之需,产出更多“把论文写在祖国大地上”的高水平研究。
论文摘要
Rapid demographic ageing substantially affects socioeconomic development and presents considerable challenges for food security and agricultural sustainability which have so far not been well understood. Here, by using data from more than 15,000 rural households with crops but no livestock across China, we show that rural population ageing reduced farm size by 4% through transferring cropland ownership and land abandonment (approximately 4 million hectares) in 2019, taking the population age structure in 1990 as a benchmark. These changes led to a reduction of agricultural inputs, including chemical fertilizers, manure and machinery, which decreased agricultural output and labour productivity by 5% and 4%, respectively, further lowering farmers’ income by 15%. Meanwhile, fertilizer loss increased by 3%, resulting in higher pollutant emissions to the environment. In new farming models, such as cooperative farming, farms tend to be larger and operated by younger farmers, who have a higher average education level, hence improving agricultural management. By encouraging the transition to new farming models, the negative consequences of ageing can be reversed. Agricultural input, farm size and farmer’s income would grow by approximately 14%, 20% and 26%, respectively, and fertilizer loss would reduce by 4% in 2100 compared with that in 2020. This suggests that management of rural ageing will contribute to a comprehensive transformation of smallholder farming to sustainable agriculture in China.
论文链接:Nature




