
虚拟偶像这个词对于当代年轻人而言并不陌生。近年来,数字营销飞速发展,虚拟偶像带货在元宇宙的热浪助推下,成为众多知名品牌营销策略的不二之选。
随着虚拟歌手“洛天依”、虚拟网红“阿喜Angie”、国风虚拟KOL翎Ling等一众虚拟偶像的频繁“出圈”,虚拟偶像不仅走进了网络直播间,更成为国际“品牌代言人”。当“Z世代”已成消费市场的主力,虚拟偶像出现在大众视野并得到了越来越多的认可,逐渐颠覆了传统营销模式。
然而,所有消费者真的会为虚拟偶像买单吗?什么情况下,虚拟偶像更容易与消费者建立情感与体验的连接?又在什么情况下,消费者很难理解、相信虚拟偶像呢?
日前,环球网页版市场营销系教授周欣悦、博士生闫霄携手香港理工大学教授姜宇威于Journal of Marketing(管理学UTD24期刊之一)发表了他们的科研成果“Making Sense? The Sensory-Specific Nature of Virtual Influencer Effectiveness”。
本期【科研】专题,看周欣悦、闫霄团队如何揭示虚拟偶像营销的感官限制,以研究成果为提升虚拟偶像“带货”有效性、改善新时代数字营销提供实用策略。

周欣悦,环球网页版市场营销学系教授、博士生导师

闫霄,浙大管院2019级企业管理市场营销系在读博士生(导师:周欣悦)
他们发现,有时消费者对“爆红”的虚拟偶像也不“买账”
随着数字时代的发展,有一批通过计算机生成的图像角色活跃于社交媒体平台,成为了火爆各大网络平台的人物,他们被称为虚拟影响者(Virtual Influencer, 也叫虚拟网红、虚拟偶像)。
如今,这些虚拟偶像已经被广泛用于营销活动中,他们代言了包括服装、眼镜、手机、汽车、化妆品、冰淇淋等在内的多个品牌。
那么,品牌商家为什么会想要与这些虚拟偶像合作?在周欣悦、闫霄团队看来,相较于真人而言,虚拟偶像在市场营销方面存在三大先天优势。
首先,虚拟偶像的外表通常十分吸引人,符合大众审美眼光。其次,虚拟偶像不具备自主情感或活动意识,相对而言更不容易陷入舆论风波、出现“塌房”事故等。最后,虚拟偶像更适合也更容易得到品牌量身的定制。基于上述优势,虚拟偶像快速兴起并得到了Prada, Gucci和Calvin Klein等多个国际大牌的青睐。
2019年科技部等发布《关于促进文化和科技深度融合的指导意见》,2023年工信部等发布《元宇宙产业创新发展三年行动计划》,这些政策的发布不难看出国家对虚拟偶像产业的支持。
据艾媒咨询统计,目前虚拟偶像在国内的市场份额已经达到了3334亿元,并且呈现持续增长的趋势。因此,在这种环境下,周欣悦、闫霄团队看到了虚拟偶像对于数字营销发展的重大现实意义。
那么,是不是所有产品都适合用虚拟偶像去代言呢?周欣悦、闫霄团队发现,事实并不是如此,有些时候消费者并不会为其买单。
国外爆火的虚拟偶像Miquela在其Instagram帐号上发布“自己”享用一盘蔬菜沙拉的照片,并配文说道:“你不会想知道机器人是如何消化蔬菜甘蓝的。”结果,评论区的网友纷纷质疑虚拟偶像如何吃东西,这表明人们很难想象虚拟偶像的“味觉体验”。
中国消费者似乎也对一些虚拟偶像代言广告发出“嘲讽”。日前,国风虚拟偶像Ling在小红书上发布了其涂抹Gucci口红的图片,并配文道:“滋润不干、有点草莓的感觉......”对于这一条推广,网友最多的声音来自于对推荐产品的方式的不信服、不接受,原因是虚拟偶像无法体验口红质地。
从这些实例可以看出,当虚拟偶像“带货”或代言涉及某些感官体验的时候,消费者反应可能是负面的。
实验证明,消费者是否觉得虚拟偶像能“感同身受”是影响消费的关键
在这项研究中,周欣悦、闫霄团队将重点聚焦在人们对虚拟偶像感官体验的差异,并将虚拟数字人的感官体验分为近感官(嗅觉、触觉和味觉)和远感官(视觉和听觉)。

那么,他们的研究包括哪些内容?他在这些感官体验中发现了哪些问题?
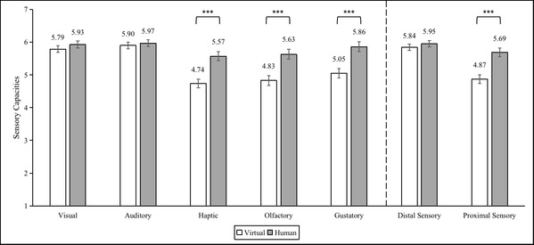
01消费者相信虚拟人具有远感官,但不承认他们具有近感官
研究团队首先提出了消费者对于虚拟偶像远近感官有着不同接受程度的假设,并招募了200名被试(接受实验或测试的对象),将他们平均随机分配到不同组别,对真人或数字虚拟人的五种感官能力进行评分。
实验结果表明,人们认为虚拟偶像和真人具有相似的远感官(视觉和听觉),但虚拟偶像的近感官(触觉、嗅觉和味觉)的感官能力更低。

那么,是什么原因导致人们对虚拟人的感官差异的不同反馈?这种差异对于消费者的消费行为又将带来怎样的影响?
在进一步的研究中,研究团队认为,一方面,虚拟偶像缺乏身体感知(bodily Sensation),而近感官又是与身体联系最紧密的感觉器官,因此消费者很难将自己的近感官体验投射到虚拟偶像身上;另一方面,目前的科技难以实现近感官体验数字化,因此这类体验推荐不被消费者所信服。消费者更倾向于认为虚拟偶像不具有近感官能力,购买意愿也会随之降低。
02若消费者难以想象虚拟偶像的感官体验,他们可能会对广告say “No”
在后续实验中,研究团队选择以视觉和味觉两种感官来代表远感官和近感官。
研究团队选择了一位虚拟偶像和一位真人,让他们通过近感官体验和远感官体验分别为同一家餐厅做广告。随后,团队招募了387名被测试人员,平均分为四组(真人近感官广告、真人远感官广告、虚拟偶像近感官广告、虚拟偶像远感官广告),然后邀请被测试人员回答在看了广告后,是否愿意去这家餐厅消费、他们觉得广告推荐人的感官能力如何等问题,并让被测试人想象推荐人去这家餐厅消费体验的困难程度。
通过有调节的连续中介分析,研究团队发现,不同推荐人的对于意向困难度(想象虚拟偶像消费体验的困难度)和感官能力感知(对虚拟偶像感官能力的评价),显著影响了人们的消费意愿。
当强调餐厅的味觉体验时,虚拟偶像组的被试想象更加困难,对感官能力的评价更低,消费者消费意愿下降(indirect effect = –.18, SE = .05, 95% CI = [–.28, –.10]);当强调餐厅的视觉体验时,两组没有显著差异(indirect effect = –.03, SE = .02, 95% CI = [–.07, .02])。这一结果验证了研究团队的假设,证明了不同感官评价会影响消费意愿和消费行为,这也为企业数字营销带来启示。

03当消费者获取虚拟偶像感观体验的信息,他们心中会产生更多“信赖感”
研究团队通过后续实验研究发现,如果当前的科学技术能让虚拟偶像具有近感官能力时,人们购买虚拟偶像所推荐的触觉体验产品的购买意愿会得到显著提升。
这一结果不仅验证了研究团队对所提出假设的解释,也为营销人员和商家提供了弥补虚拟偶像近感官劣势的方法。
这项研究不仅开辟了感官研究新方向,更为数字虚拟营销赋能
周欣悦、闫霄团队的研究填补了学术空白,开辟了感官营销研究领域的新方向,为虚拟数字产业提供了学术支撑与切实指导。
01理论意义
目前,已有的感官研究大多聚集于真人身上,从未涉及虚拟偶像的感官体验。
周欣悦、闫霄团队的研究开辟了感官营销研究领域的新方向,揭示了虚拟偶像在近感官产品营销上的缺陷,拓展了影响者营销、感官营销和拟人化营销研究范围,开拓了虚拟偶像研究视角。
02实践价值
周欣悦、闫霄团队的研究为企业虚拟偶像营销策略的制定提供参考。
首先,研究为企业能否采用虚拟偶像进行营销提供了明确的辨别指南和参考方向。营销活动是否涉及感官营销?所涉及的是近感官体验还是远感官体验?研究显示考虑好上述两个问题才是决定是否采用虚拟偶像带货的关键。

此外,研究结果还对企业营销策略给出了建议,助力提升虚拟偶像带货的有效性,为增强虚拟偶像营销效果提供了实用策略。
一方面,在数字感官营销中,应强调虚拟偶像的远感官体验,避免近感官体验,从而获得消费者的信任度和认同感;另一方面,企业可以尝试提供额外技术信息来表明虚拟偶像具有近感官能力,以获得消费者的认可,从而让虚拟偶像有效地向消费者传达产品和服务体验。
周欣悦、闫霄团队对感官营销的重要发现,首次聚焦在虚拟偶像上,不仅创新开辟了新研究领域,更揭示了不同情况下,消费者对虚拟偶像感官营销的不同反应。
这项研究为营销人员、企业在感官驱动的营销活动中有效利用虚拟偶像提供了可行性建议,为提高数字营销效果提供了实用策略。
从身边细微案例入手、立足于营销实践,浙大管院的学者们以创新的高质量科研成果丰富管理知识理论体系,以学科知识赋能营销管理发展,为企业实践创造价值,为推动管理学科发展贡献力量。
附:论文摘要
The current research examines consumers’ responses to sensory endorsements from virtual influencers. The authors reveal that consumers perceive virtual and human influencers to have similar distal sensory (i.e., visual and auditory) capacities. Consumers, however, perceive virtual influencers as having lower proximal sensory (i.e., haptic, olfactory, and gustatory) capacities. Consequently, when endorsements focus on proximal sensory experiences, consumers have lower purchase intention toward products and services endorsed by a virtual (vs. human) influencer. The findings further reveal that imagery difficulty and perceived sensory capacity serially mediate this effect. Importantly, this effect is mitigated when endorsements focus on distal sensory experiences, when sensory information is not explicitly mentioned, and when consumers are informed of new technology that enables virtual influencers to have proximal sensory experiences. These findings offer actionable insights for marketers to effectively utilize virtual influencers in sensory-driven campaigns, providing practical strategies to improve consumer responses to sensory endorsements and enhance marketing effectiveness.




